최초 작성일 22년 2월 3일
과외돌이 수업을 위해 새로운 교재를 골라야 했다. 교재를 고민하던 도중 내가 생각하는 수학 공부 방법을 설명하기에 매우 좋은 예시가 생겨서 이렇게 글로 남기게 되었다.
교재를 고민하면서 동생에게 블랙라벨 수학(상) 책이 있냐고 물어봤는데, 이미 버린 것 같다고 했다.
그러면서 나보고 현우진 뉴런 책에 있는 내용을 한 번 봤으면 좋겠다고 했다. 이유를 물어보니 ‘형도 그 책에 나와있는 내용 다 아나 싶어서?’라고 하길래, 한 번 훑어 봤다.
딱히 특별한 내용은 없고 기본 개념 설명 되어있는 것 같아서 어디가 특별하냐고 했더니 예시로 한 부분을 보여줬는데, \(x = a\) 에 대하여 대칭인 함수를 적분하는 방법, 점 대칭인 함수를 적분하는 방법에 대해 소개하고 있었다.

보자마자 막 엄청 특별한 내용은 아니라는 것을 깨달았고, 이런 내용은 특별하게 누가 정리해주지 않아도 공부를 지엽적으로 하지 않고 충분히 생각을 많이 하면 알 수 있다고 얘기했다. (그렇다고 모르는게 이상하다는 의미는 절대 아니다.)
동생: 형은 그럼 이런 내용을 어떻게 알았어?
이런 내용을 스스로 깨닫는 방법으로 2가지가 있다. 아래의 내용은 내가 공부법에 대한 얘기를 할 때 늘 강조하는 내용이기도 하다.
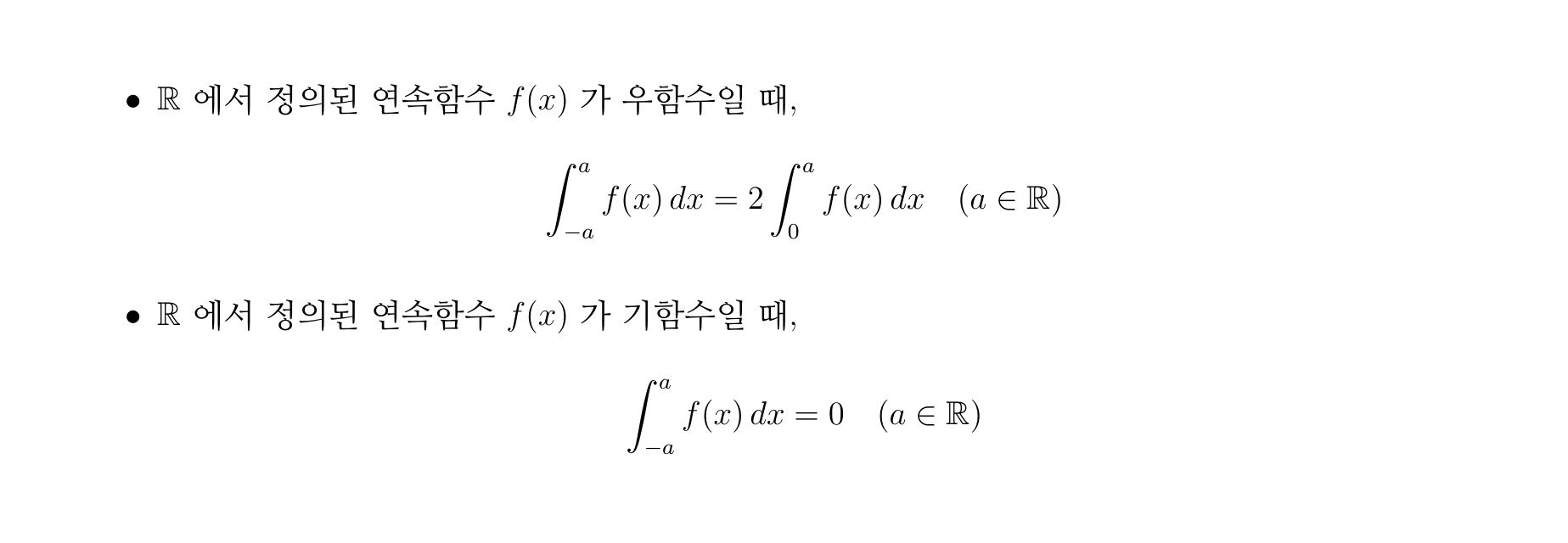
가정: 적분 파트에서 [우함수와 기함수의 적분]은 기본 개념으로 대부분의 책이 가르친다.

- 개념 공부 하면서 스스로 일반화 해보기
- 개념을 단편적인 지식으로 이해하고 끝낼 것이 아니라, 이 속에 들어있는 핵심 원리를 파악하고 일반화를 해야 한다.
- [우함수 → \(x = 0\) 에 대칭인 함수, 기함수 → 원점에 대칭인 함수]라고 파악하게 되면 이 개념은 ‘우함수/기함수의 적분’이 아니라, ‘선대칭/점대칭 함수의 적분’이 된다.
- 이렇게 하면, 배운 내용이 단순히 우함수/기함수일 때 쓰는 공식이 아니라, 피적분함수가 대칭성을 가질 때 사용할 수 있는 하나의 아이디어가 된다!
- 공부하면서 개념에 대해 깊이 생각하고 고민하다 보면 자연스럽게 이런 내용을 깨닫게 되기도 한다.
- 문제 풀면서 배운 것을 정리하기
- 문제를 풀고 나서 새롭게 알게 된 사실이나 깨달은 문제 풀이의 아이디어가 있다면, 다음에도 그 아이디어를 적용할 수 있도록 하기 위해, [문제를 풀고 배운 것을 정리]하고 넘어가야 한다.
- 우리가 문제를 많이 푸는 이유를 따지고 보면 결국에는 비슷한 문제를 만났을 때 그것을 해결하기 위함이다.
- 문제집에서 A를 풀어서 제대로 익혔다면 다음에 A’ 문제를 만났을 때 수월하게 해결할 수 있을 것이다. 한편 A를 풀지 못해 답지를 보고 이해했으나 완전히 자신의 것으로 만들지 못했다면 다음에 A’ 을 만나도 문제를 풀지 못한다.
- 보통 문제를 풀다 보면 개념을 응용한 문제들이 나오기 때문에 단순히 우함수/기함수의 적분 뿐만 아니라 ‘대칭성을 가지는 함수의 적분’ 문제가 나오기 마련이다.
- 이 문제를 출제 의도대로 해결한 경우: 아마 높은 확률로 함수의 대칭성을 풀이에 활용했을 것이다. 문제를 풀고 나서 무엇을 배웠는지 정리할 때, [대칭성을 가지는 함수를 적분하는 방법]을 정리해서 앞으로 활용할 수 있도록 기억하면 된다.
- 이 문제를 다른 방법으로 푼 경우: 풀었더라도 해설에서 새로운 지식을 얻을 수도 있기 때문에 확인해 보는 것이 좋다. 뒤의 풀지 못한 경우에서 후술한다.
- 이 문제를 풀지 못한 경우: 해설을 보고 풀이를 공부하게 될 것이다. 그리고 해설에는 본인이 개념적으로 몰랐던 부분은 없을 확률이 높다. 아마 개념을 충분히 응용하지 못해 문제를 풀지 못한 것이다. (정말 특별한 아이디어가 필요한 경우가 아니라면) 못 풀어도 괜찮다. 해설을 보고 [대칭성을 가지는 함수를 적분하는 방법]을 정리하고 공부하여 부족했던 개념을 보충하면 된다.
- 이 방법에서는 [학생이 공부하다가 개념을 응용한 문제를 만났다]는 가정을 하고 있다. 그래서 좋은 문제집을 선택하는 것이 중요하다. 단순히 개념을 적용하는 수준의 문제만 있지 않고, 학생이 개념을 응용할 수 있도록 하는 문제가 제공되는 책을 골라야 한다. (물론 1번 방법으로 하는 학생들은 그런 문제를 만나지 않아도 응용 문제를 잘만 해결하기 때문에, 적당한 개념서를 보는 것으로 충분한 경우도 있다. 다만 스스로 일반화를 할 생각을 할 정도의 내공과 수학적 직관을 갖고 있기는 어렵다는 것이 문제이다.)
1번 방법으로 공부가 가능하다면 더할 나위 없이 좋겠지만, 현실적으로는 어렵다. 공부해야 할 양은 태산이기 때문에 깊게 생각할 시간은 사실상 거의 존재하지 않는다. 그리고 그 정도의 사고력을 태생적으로 갖고 있기도 어렵다. (그런 사고력을 가진 학생이라면 이미 공부를 잘 하지 않을까)
그러므로 뉴런과 같이 특별한 개념이 따로 정리되어 있는 책의 도움을 받는 것도 충분히 좋은 방법이다! 물론 지나치게 특수한 개념에 지나치게 집중해버린 나머지 근본 원리를 잊어버리거나 큰 그림을 놓쳐서는 안될 것이다.
동생의 추가 질문: 우함수/기함수/주기함수의 적분이 대체 공학적으로 무슨 쓸모가 있어?
바로 꺼낸 것 → Fourier Series.
- 모든 주기함수를 삼각함수의 무한 합으로 나타낼 수 있다!
- 증명 과정에서 \(\sin, \cos\) (주기함수이자 기함수, 우함수) 를 적분하는 아이디어를 사용
- 신호 처리 분야에서 굉장히 많이 쓰이는 내용이고, 이를 응용한 각종 Fourier Transform - DFT, FFT, QFT, STFT 등 - 은 공학 분야에서 이미 널리 쓰이는 중이다.
나는 그냥 공부가 좋아서 하기 때문에 어떤 개념이 현실적으로 유용한지에 대해서는 많은 고민을 해보지 않는 편이다. 그래서 이 개념은 대칭성을 가지는 함수의 적분을 계산할 때 단순히 계산의 편의를 위해 존재한다고 생각하고 있었다. 동생의 질문 덕분에 이 개념이 현실에서 어떻게 사용되고 있는지 나도 깨닫게 되었다.
알고있는 지식들이 서로 연결되어 깨달음을 얻었을 때 느껴지는 쾌감은 정말 최고다! 오늘도 지식이 늘었다! 👍
'Mathematics > Teach' 카테고리의 다른 글
| 수포자 양성 (0) | 2020.01.10 |
|---|
댓글